
Каратеев А. М.,
Пономаренко О. И.,
Евтушенко Н. С.,
Евтушенко С. Д.
В статье показана перспективность использования в литейном производстве экологически чистого связующего ОФОС, которое не содержит в своем составе отравляющих веществ, таких как фенол и формальдегид, отрицательно влияющих на здоровье работающих. Определены физико-механические и технологические свойства смесей, а также предложена технология получения качественных отливок из стали, чугуна и цветных сплавов на основе таких смесей.
В современном литейном производстве существует большое количество способов изготовления форм и стержней с применением многочисленных составов смесей [Формовочные материалы и смеси / С. П. Дорошенко, В. П. Авдокушин, К. Русин и др. Киев : Вища шк., 1990, 415 с.; Литейные формовочные материалы. Формовочные, стержневые смеси и покрытия : справочник / А. Н. Болдин, Н.И Давыдов, С. С. Жуковский и др. М.: Машиностроение, 2006, 507 с.]. На сегодняшний день всё большее применение находят холоднотвердеющие смеси (ХТС) с использованием синтетических смол в качестве связующего. Это объясняется их высокой прочностью при небольшом расходе связующего, возможностью регулирования скорости отверждения смеси в большом диапазоне, отсутствием необходимости в сушке, благодаря чему существенно упрощается и сокращается цикл изготовления отливки.
Однако остается одна проблема — отрицательное влияние продуктов термодеструкции синтетических смол на безопасность жизнедеятельности человека и на окружающую среду. При их использовании образуются от 30 до 40 % (по массе) токсичных продуктов в виде газов и конденсата. Значительная часть продуктов деструкции остается в отработанных смесях. Отказаться сегодня от ХТС на смоляных связующих в литейном производстве практически невозможно. Поэтому создание и применение экологически чистых связующих для литейных форм и стержней c сохранением показателей их основных физико-механических и технологических свойств, разработка технологии их приготовления, а также получение качественных отливок из чугуна, стали и цветных металлов на их основе является актуальной задачей литейного производства.
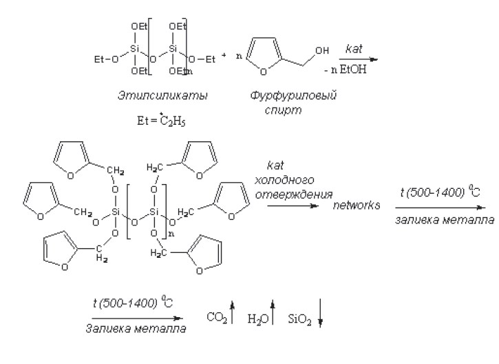
Разработанный в НТУ «ХПИ» олигомер на основе олигофурфурилоксисилоксанов (ОФОС) полностью удовлетворяет всем современным требованиям, предъявляемым к связующим материалам в литейном производстве. Основной особенностью нового связующего является отсутствие в его составе отравляющих веществ, благодаря чему оно признано экологически чистым [Патент на корисну модель № 23593, Україна. Спосіб одержання холоднотвердіючих сумішей. Авт. Каратєєв А. М., Пономаренко О. І., Євтушенко Н. С. та ін. — Опубл. 25.05.07., Бюл. № 7]. Оценка связующего на экологическую безопасность подтверждена протоколом испытаний № 46/НДЛ-1.07 и результатами токсикологических исследований от 20.11.2007 г.
Процессы, происходящие в смесях, можно структурно описать следующим образом:

Смесь полимеризуется по ион-радикальному механизму при раскрытии двойных связей в фурановых циклах при обычных температурах в помещении. При этом композиционная смесь за счет теплоты полимеризации двойных связей разогревается до температуры 60…70 °С и образует сетчатую структуру во время отверждения форм и стержней. При взаимодействии компонентов со связующим ОФОС не образуется свободного фурфурилового спирта, как, например, при использовании фурановых смол.
При заливке расплавленного металла в формы происходит процесс термической деструкции сетчатой структуры полимерного композиционного связующего. В результате этого процесса в атмосферу выделяются CO2 и пары H2Oи образуется твердый неорганический остаток SiO2.
Контроль свойств исходных материалов, стержневой и формовочной смесей,которые были исследованы, осуществлялсяпо стандартным методикам.
Показатели прочности по технологической пробе на сжатие у смеси на основеОФОС в зависимости от степени полимеризации смолы, используемого катализатораи его концентрации в среднем составляют: через 1 ч — 1,3…1,54 МПа; через 3 ч —2,5…2,9 МПа; через 24 ч — 4,9…6,1 МПа, чтосоответствует нормативным требованиям,предъявляемым к ХТС со смолами.
Были проведены исследования смесейна живучесть, газотворность, газопроницаемость и осыпаемость. По полученнымданным определено, что живучесть смесейна основе связующего ОФОС в присутствиивсех катализаторов находится в пределах4…17 мин. Время отверждения композициизависит от концентрации катализатора, количества и его химической природы, а такжеот количества молей фурфурилоксигруппв связующем ОФОС. Причем увеличение концентрации катализатора приводит к уменьшению живучести. Ею можно управлять, изменяя меру полимеризации n и концентрацию катализаторов. Газотворная способностьсмеси в среднем составляет 10,5…11,8 cм3/г,осыпаемость смеси находится в пределах0,1…0,36 %, газопроницаемость > 200 ед.,а прилипаемость смеси к стержневому ящику и пригар минимальны. Влажность смесейзависит от концентрации катализатора такимобразом: при увеличении концентрации катализатора влажность смеси снижается.
Установлены закономерности комплексного влияния различных кислотныхкатализаторов (ПТСК, БСК, ССК) и их концентраций, а также степени полимеризациисмолы на основные физико-механическиеи технологические свойства ХТС на основеолигофурфурилоксисилоксанов. По скорости нарастания прочности смеси катализатор ПТСК оказался лучшим, однако прочностные характеристики через 24 часа вышеу катализатора ССК.
В работе было исследовано поведениеХТС на основе ОФОС в процессе термодеструкции, при этом анализ дифференциальнотермических и термогравиметрическихкривых показывают, что пиролитическиепроцессы идут в трех температурных диапазонах: до 250 °C, от 250 до 600 °C, от 600 °Cи выше. Общая потеря массы в образцахсоставляет от 2,5 до 3,5 %. Наиболее интенсивно потеря массы наблюдается в интервале 370…570 °C, что связано с термическимразложением смолы, сопровождающимсяразрушением метиленовых и силаксановыхсвязей, выделением газообразных продуктов термодеструкции и образованием сажистого осадка и двуокиси кремния.
Проведенный анализ процессов деструкции позволяет утверждать, что смолуОФОС можно отнести к категории, обладающей хорошей связующей способностьюи термостойкостью, и ее целесообразно использовать в качестве связующего для ХТСпри изготовлении форм и стержней.
В работе экспериментально с применением методов многофакторной оптимизации определен состав экологически чистойХТС на основе ОФОС для изготовления литейных форм и стержней, который определяется областью значений: для смолыОФОС — от 1,0 % до 2,0 %, для катализатораПТСК — от 0,6 % до 1,0 %.
Установлены закономерности нарастания прочности смеси в течение 180 мин.,которые подчиняются экспоненциальномузакону. Разработаны математические моделисвойств формовочной смеси на ОФОС, анализ которых показал, что влияние варьируемых факторов — количества смолы и катализатора, его концентрации — на параметрыоптимизации (прочность и живучесть смеси)соответствует теоретическим представлениям о формировании свойств смеси при еёприготовлении. Прочность смеси повышается с увеличением количества связующегоОФОС и катализатора ПТСК. Живучесть смесиуменьшается с увеличением количества катализатора и уменьшением количества смолы.Установлено, что на качество смеси такжевлияют и парные взаимодействия исходныхсоставляющих в математических моделях.
Одним из эффективных способов снижения стоимости отливок является использование отработанных песков. В работебыло проведено исследование по изучениюизменения прочностных свойств отработанной формовочной смеси на смоле ОФОСпри многократном её использовании. Дляэтого были изготовлены три состава смеси.В первом составе в качестве наполнителяиспользовался свежий кварцевый песок,во втором — отработанная смесь послетрехкратного оборота; в третьем — отработанная смесь после шестикратного оборота. Во всех смесях в качестве катализатораиспользовали паратолуолсульфокислоту(ПТСК) 50 % в количестве 1 %. Количествосмолы ОФОС — 2 %.
На рис. 1 представлена сравнительнаяоценка прочностных свойств смеси с использованием свежего песка и с использованием отработанной смеси. Анализ данныхпоказывает, что прочность смесей на основе отработанной смеси ниже, чем в смесяхна основе свежего песка. Падение прочности составляет 0,1…0,2 МПа за один оборотсмеси. Повысить прочность таких смесейможно за счет увеличения процентного содержания смолы и катализатора. Однако даже при шестикратном обороте смеси по показателям прочности дополнительный вводэтих компонентов не требуется.

Рис. 1. Прочностные свойства свежей смеси и с использованием отработанной смеси
Также проводилось изучение реактивности формовочных смесей на основесвежего песка и с использованием отработанной смеси. Под реактивностью формовочной смеси понимаем способность еёкомпонентов вступать в реакцию междусобой. В частности, это касается взаимодействия смолы с катализатором. Реактивностьхарактеризуется промежутком времени,через который между компонентами смесиначинается взаимодействие. Для исследования смесь готовили аналогичным способом. После каждого оборота приготавливалась новая смесь на основе отработаннойи определялась её реактивность.
На рис. 2 представлена диаграммасо сравнительной оценкой реактивностиформовочной смеси с использованием свежего песка и с использованием отработанной смеси. Из диаграммы видно, что с увеличением количества оборотов отработанной формовочной смеси реактивностьеё постепенно снижается, то есть процессотверждения образцов с каждым оборотомсмеси ускоряется. Это объясняется тем, чтов отработанной смеси остается некотороеколичество смолы и катализатора, и этасмесь имеет более высокую скорость взаимодействия компонентов, что позволяетвпоследствии уменьшить дозировку составляющих смеси.

Рис. 2. Реактивность смеси на основе свежего песка и с использованием отработанной смеси
Для исследования структуры отработанных песков ХТС на смолах с олигофурфурилоксисилоксановым связующим был проведен следующий эксперимент. Образцыготовили по методике, приведенной ранее.Затем их помещали в муфельную печь и притемпературе 800 °С выдерживали в течениечаса. По истечении времени образцы рассыпались, и из песка снова изготовляли образцы. Этот процесс повторяли 8 раз. Каждыйраз изучали структуру зерен песка с помощью электронного микроскопа с увеличением в 112 раз. Со временем наблюдалось появление «бархатной» пыли на зернах песка.На рис. 3 представлены снимки песка в исходном состоянии и после восьмикратногооборота. Можно предположить, что «бархатная» пыль на зернах является коксовой составляющей смолы.

Поэтому для исследования составов отработанных песков был проведен рентгенографический фазовый анализ. Рентгеносъёмка проводилась на аппарате ДРОН-3.0 в медном излучении (λ = 1,54 °А) с монохроматором на дифрагируемом пучке при U = 30 кВ, I = 30 А.
Дифрактограммы снимались в угловом интервале 2Ө = 16…75°. Установлено, что на дифрактограммах присутствует только кварц. Других элементов в песке не выявлено. Сравнение дифрактограмм показывает, что первая дифрактограмма отличается от восьмой повышенной дисперсностью кварца. Это объясняется тем, что при повторном использовании песков идет процесс истирания зерен. Таким образом, значение работы заключается в решении важной научной и технической задачи по созданию экологически чистых холоднотвердеющих смесей для литейного производства и получения качественных отливок.
1. Предложено новое связующее ОФОС для ХТС на основе продуктов переэтерификации этилсиликата-40 (ЭТС-40) и фурфурилового спирта, которое представляет собой экологически чистое связующее и по своим свойствам не уступает зарубежным аналогам. Оценка связующего на экологическую безопасность подтверждена протоколом испытаний и результатами токсикологических исследований.
2. Определены следующие уровни основных свойств ХТС на основе ОФОС: прочность, живучесть, газотворная способность, газопроницаемость, осыпаемость, огнеупорность и выбиваемость, от которых зависит качество отливок при литье в песчаные формы. Показатели прочности по технологической пробе на сжатие у смеси на основе ОФОС, в зависимости от степени полимеризации смолы, используемого катализатора и его концентрации, в среднем составляют: через 1 ч — 1,3…1,54 МПа; через 3 ч — 2,5…2,9 МПа; через 24 ч — 4,9…6,1 МПа, что соответствует нормативным требованиям, предъявляемым к ХТС со смолами.
3. Исследованы основные характеристики смесей на отработанных песках со связующим ОФОС. Подтверждено, что прочность смесей на основе отработанных песков ниже, чем в смесях на свежих песках. Снижение прочности составляет 0,1…0,2 МПа за один оборот смеси, однако даже при шестикратном её обороте по показателям прочности дополнительный ввод компонентов не требуется. Также установлено, что с увеличением количества оборотов отработанной формовочной смеси реактивность её постепенно снижается, то есть процесс отверждения с каждым оборотом смеси ускоряется.
Рентгенографический фазовый анализ показал, что на дифрактограммах присутствует только кварц, других элементов в песке не выявлено. Установлено, что дисперсность кварца с увеличением количества оборотов смеси возрастает.
4. На основе исследований установлена возможность использования при приготовлении ХТС до 90…95 % регенерированных отработанных смесей на ОФОС, что позволяет снизить затраты на приобретение свежих песков.
5. Разработаны технологические процессы приготовления стержневых и формовочных ХТС на основе ОФОС в компрессорном и энергетическом машиностроении, а также в турбиностроении. Технологический процесс приготовления стержневых и формовочных ХТС на основе ОФОС для получения качественных отливок из стали и бронзы был использован для приготовления смесей на ОАО «Турбоатом» (г. Харьков). Его внедрение позволило улучшить качество отливок и ликвидировать брак по пористости для отливок из бронзы. Технологический процесс для алюминиевых отливок был внедрен на предприятиях НПФ «Орттех», НПЦ «ЕвроМет» (г. Харьков). Составы ХТС были апробированы и внедрены в производственных условиях на ПАО «Сумское научно-производственное объединение» (г. Сумы) для отливок из чугуна и стали, где показали высокую эффективность: были улучшены качество поверхности отливок, выбиваемость стержневых смесей, сокращен цикл изготовления стержней и снижены затраты на очистку литья.