Саленко А.Ф., Мохамед Р. Ф. Будар
Композиционные материалы всё шире внедряются в промышленность. Благодаря своим уникальным свойствам они нередко являются безальтернативным решением задач, стоящих перед производственными предприятиями самых разных отраслей. В то же время композиты непросты в обработке. Они требуют специального инструмента и специфических приемов, например использования нежесткого инструмента в виде тонких алмазных струн, позволяющих просто и эффективно разрезать высокопрочные заготовки.
Современные композиционные материалы все шире внедряются в инженерную практику. Получаемые методом наполнения матрицы — связующей основы — различными армирующими компонентами, они приобретают свойства, которые зачастую не реализуемы при однородной структуре. Имея преимущества перед металлами и сплавами по физико-механическим характеристикам, по стойкости к агрессивным средам, по способности работать в особо тяжелых условиях, композиты уже не являются материалами, преимущественно используемыми в авиакосмической отрасли, а находят все большее применение в химическом и транспортном машиностроении, в добывающей промышленности, приборостроении, энергетике и пр. На сегодня созданы сотни образцов композитов — от дешевых неметаллических, в которых используется, в том числе, переработанное сырье, и до высокопрочных, высокотемпературных углеродных материалов, способных выдерживать температуры в тысячи Кельвинов, сохраняя при этом механические характеристики в пределах заданных значений.
Отдельно следует отметить композиты на металлической основе, армированные борными, кремнеземными, карбидными, молибденовыми, берилиевыми волокнами, высокопрочные режущие композиты, а также материалы, используемые для специфических целей. Именно поэтому классификация композиционных материалов в настоящее время довольно широка. Как правило, в основном физико-механические свойства и геометрические характеристики изделий формируются на этапе выкладки и прессования) и обусловливаются технологическим процессом, предусматривающим конкретные способы армирования (введения армирующих компонентов в матрицу), протеканием тех или иных химических или термохимических реакций, термодинамических превращений.
Как правило, необходимость в последующей механической обработке таких изделий практически полностью отсутствует. Однако в некоторых случаях без дополнительной обработки не обойтись. В таком случае заготовку сверлят, фрезеруют, а также зачищают кромки.
Исследования ученых Харьковской и Киевской школ обработки неметаллических материалов показывают, что резание (в том числе, микрорезание — шлифование) традиционным способом трудоемко, а в некоторых случая практически невозможно. Было установлено, что при обработке стеклопластиков, углепластиков, слоистых композитов, некоторые особенности этих материалов — анизотропия свойств, наличие высокопрочных включений в структуре, низкая температура размягчения матрицы, низкий теплоотвод из зоны резания — приводят к тому, что использование традиционных инструментов становится малоэффективным. Армирующие элементы (рубленные или длинные стекловолокна) оказывают разрушительное действие на режущие кромки инструмента, а низкая теплопроводность материала ведет к быстрому перегреву поверхностей. Активное развитие адгезионных и когезионных повреждений ведет к быстрому затуплению инструмента и, как следствие, к возникновению ряда дефектов обработки. Последние условно можно отнести к таким группам:

Рис. 1. Дефекты механической обработки заготовок из полимерных композиционных материалов
Более существенные повреждения могут привести к полному прекращению процесса обработки.
Для предотвращения дефектов, возникающих при обработке волокнистых армированных материалов, существует ряд достаточно эффективных технических решений, направленных на обеспечение рациональных условий взаимодействия режущего клина с неоднородной структурой материала. Прежде всего, резание композитов без сколов и расслоений требует применения специально заточенного инструмента, с острыми углами при вершине, позволяющего разделить снимаемый припуск, чем достигаются условия резания, сдерживающие рост температуры и, следовательно, уменьшающие негативное влияние структуры материала на износ инструмента, на термохимические явления в зоне действия режущего клина.
Резание абразивным инструментом еще более требовательно к условиям взаимодействия. Ведь зерна абразива — не что иное, как совокупность микроклиньев, воздействующих на поверхность с высокой скоростью и снимающих микростружку — шлам. При этом размеры таких микроклиньев сопоставимы с размерами компонентов композита — в частности, с размерами армирующих волокон.
Авторами предложена концепция высокопроизводительной алмазно-абразивной обработки ПКМ (полимерных композиционных материалов) и УУКМ (углерод-углеродных композиционных материалов), которая базируется на обеспечении рациональных условий протекания механохимических и теплофизических явлений путем создания определенных динамических контактных взаимодействий в зоне обработки, минимизирующих изменение функций отдельных участков инструмента в процессе микрорезания. Рабочие поверхности инструмента при этом представляются совместимыми кластерами с отличающимися функциональными свойствами, а поддержание высокой режущей способности происходит за счёт активного удаления образовавшегося шлама за зону резания, вследствие чего удается снизить засаливание инструмента, активное разогревание его рабочих поверхностей и последующую деградацию.
Так, известно, что абразивная обработка стеклопластиков и углепластиков удовлетворительна, если зерна не покрывают поверхность сплошным слоем, и между ними имеются полости достаточного объема, в которых могут скапливаться продукты обработки. Применение традиционных абразивных кругов ведет к тому, что при резании температура в зоне резания резко возрастает, и начинается активная деградация режущего слоя. Термобарическому нагружению подвергаются и сами зерна, а в точке контакта возможно возникновение прижогов, еще больше повышающих температуру в зоне резания. В результате начинается активное газовыделение и сублимация матрицы. Из-за неправильного выбора инструмента обработка может и вовсе прекратиться, а заготовка и инструмент будут повреждены.
Только применение инструмента специальной конструкции, в том числе нежесткого, позволяет выполнять обработку качественно и производительно.
Еще сложнее обрабатывать материалы углерод-углеродной группы (углерод-углеродных композиционных материалов — УУКМ), обладающих высокой прочностью, хрупкостью и способностью выдерживать
высокие температуры (свыше 2500 °C). Так, например, заготовку из композита типа КИМФ с 3D-армированием спекают в виде цилиндров, которые потом разделяют на пластины нужных размеров и обрабатывают по контуру (рис. 2).

Рис. 2. Заготовки из углерод-углеродного композита КИМФ
Использование традиционных алмазных инструментов показало, что операции разделения могут быть довольно длительными, поскольку используемые для этого алмазные круги быстро засаливаются, а типовые алмазные струны могут сохранять работоспособность непродолжительное время (до 2…3 мин). В результате отделение одной пластины от исходной заготовки может выполняться в течение нескольких часов.
Исследование особенностей разделения заготовки на пластины на пильном станке (рис. 3) показало, что неплотная структура высокопрочного материала, а также низкая жесткость самого инструмента (алмазной струны) оказывают существенное влияние на условия взаимодействия и процессы, происходящие в зоне резания.

Рис. 3. Пильный станок для разрезания заготовок УУКМ
Обычно высокопрочный углерод-углеродный композит 3D структуры имеет пористость 3–7 %; в нем по трем ортогональным направлениям волокна соединены в жгуты, диаметр каждого составляет 1,25–1,8 мм; соединение жгутов и волокон в единую структуру выполняет пироуглерод — в результате горячего осаждения на предварительно сплетенную матрицу. Резание материала алмазной струной соответствует схеме на рис. 4.

Рис. 4. Схема взаимодействия алмазных зерен и частиц шлама с поверхностью заготовки
Нежесткая струна длиной l1 под действием рабочей нагрузки Qn и сил полезного сопротивления изгибается на угол j, воспринимая распределенную нагрузку от сил резания с учетом предварительного натяжения пильного полотна FH.
Поскольку зерна алмазов miзакреплены на струне, которая имеет значительную упругую деформируемость, можно считать, что между неподвижной системой координат XYZ и подвижной, соединенной с центром масс зерен, существует упругая связь с параметром Сi. В этом случае система резания будет представлять собою динамическую систему малой жесткости. При этом чередование моментов контакта зерен с обрабатываемым жгутом из волокон и промежутком — порой материала — вызовет возникновение вынужденных колебаний.
Такие колебания струны удовлетворительно описываются дифференциальными уравнениями Эйлера. Его решение с учетом того, что сила натяжения струны определяется силами сопротивления:

где N1 и μ — параметры, определяемые условиями работы и зависящие от частоты взаимодействия отдельного зерна с поверхностью, а также от количества зерен, одновременно находящихся в зоне контакта, позволяют установить условия, при которых объем разрушения материала будет максимальным.
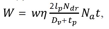
При этом микрорезание материала тесно связано и с явлениями выноса шлама из зоны резания, поскольку образовавшийся шлам просто накапливается на рабочих поверхностях инструмента и процесспрекращается [A. Salenko, O. Chencheva, V. Gluchova, V. Schetinyn, MohamedRFBudar, S. Klimenko, E. Lashko. Effect of slime and dust emission on micro-cutting when processing carbon-carbon composites. Eastern-European Journal of Enterprise Technologies. 2020. Vol. 3. No. 1. Р. 38–51]. Было установлено, что объем удаленного шлама, образовавшегося при резке с постоянной силой прижима инструмента, составляет, мм3/мин:

где Na — количество абразивных частиц, участвующих в контакте;
lp — длина рабочего хода, мм;
t — текущее время, с;
tp — шаг расположения волокон, мм;
Ndr — количество двойных ходов, мин-1;
ƞ — коэффициент, учитывающий перераспределение нагрузок между отдельными зернами и зависящий от колебательных явлений на рабочей струне.
Следует заметить, что расположенные на несущей струне алмазные зерна поразному воспринимают рабочую нагрузку. Она обусловливается: скоростью движения vrколебательных движений f(x, t), силой Qn, формой линии упругого деформирования рабочей поверхности, в данном случае li.
При резке круглой заготовки нетрудно выделить несколько зон уравнений упругой линии, например зона I и зона ІІ. В указанных зонах условия воздействия зерен на материал будут отличаться, что может быть учтено благодаря функциональному подходу. Его суть состоит в том, чтобы на основе определенных соотношений и критериев оптимизации выбрать такой вариант, который максимально полно обеспечивает главную функцию объекта. Для инструмента — это обработка, при которой достигается максимальная производительность процесса, его стабильность, качество реза и т. д.
Различие условий взаимодействия инструмента с неплотным высокопрочным композитом позволяет сделать вывод о том, что инструмент следует рассматривать как совокупность отдельных микрофрагментов — кластеров, работающих в определенных условиях. Каждый такой кластер должен обладать множеством полезных признаков (функций) Fp, совокупность которых позволяет достичь экстремума целевой функции; в случае с алмазосодержащим инструментом — максимальной производительности q и надежности F (t) работы. Совокупность таких кластеров образует алмазный слой — рабочую поверхность инструмента.
Совместимые кластеры могут быть различны в сложившихся структурах. Кривая, которую они образуют, должна приближаться к кривой, огибающей заданный профиль изделия в целом.
Для поиска рационального решения при совершенствовании инструмента был применен принцип функционально-стоимостной модели (ФВМ) системы, дополненный использованием системно-морфологического подхода.
Главные функции процесса:
Качественная оценка вариантов конструктивных решений выполнялась с помощью метода расстановки приоритетов и сравнения вариантов С1, С2, С3… На основе теоретических положений был создан инструмент для резания круглой заготовки диаметром 300 мм струной длиной 350 мм. Параметры структуры: диаметр волокон композита 1,2 мм, размер полости 1,5 мм).
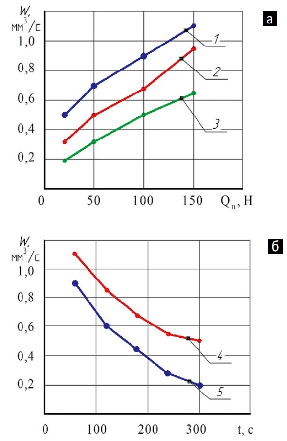
В результате исследований были получены закономерности изменения производительности процесса (рис. 5). Установлено, что увеличение рабочей нагрузки Q ведет к непропорциональному росту съема материала, а также к затуханию процесса резания с течением времени потому, что образующийся шлам не выносится за пределы зоны резания.

Рис. 5. Производительность резания w, мм./с в зависимости от рабочей нагрузки Qn, Н (а), времени обработки t, с (б):
1, 2 — исходный участок;
3 — центральный участок;
4 — типичный инструмент;
5 — предлагаемый инструмент.
Отмечено также и существенное различие в условиях резания на участках входа, выхода и центра струны. Проведенные эксперименты позволили сформулировать требования к параметрам кластеров алмазного слоя инструмента (табл. 1).
Таблица 1. Моделирование интенсивности нагрузки рабочих поверхностей при обработке композита различными инструментами

Теоретические положения подтверждены также экспериментальными исследованиями (рис. 5 а, б)
Для таких исследований изготовлены и испытаны несколько алмазных струн, на которых зерна алмазов закреплялись методом лазерного термодеформационного спекания. Применение этого способа формирования кластеров поверхности резания дает хороший и стабильный результат (рис. 6).

Рис. 6. Электронное микрофото поверхности опытных образцов: кластер с фракцией 80/120 мкм (а); переход к кластеру с фракцией 30/50 мкм (б)
Испытания инструмента проводились до полного разрушения поверхностного алмазосодержащего слоя, что позволило получить определенную статистическую выборку для определения параметров модели безотказной работы согласно уравнению

В качестве параметра Xmax принимали производительность процесса, определенную при фиксированной рабочей подачи (или фиксированном усилии резания — в данном случае 15 Н), а параметрическим отказом считали снижение производительности менее чем 1 мм3/мин.
Статистическая обработка результатов плана экспериментов позволила построить следующую регрессионную зависимость для определения объемного съема обрабатываемого композита:
где
t — шаг кластеров, мм;
h — вылет зерна над поверхностью, мм;
w — плотность нанесения зерен на плоскости поверхности, %;
p — усилие прижима, Н;
v — скорость движения.
Становится очевидным, что предлагаемый инструмент работает более стабильно и меньше подвергается загрязнению (рис. 7).

Рис. 7. Изменение производительности (а) и рост загрязненности поверхности (б) для предлагаемого и стандартного инструмента с течением времени: 1 — стандартный инструмент; 2 — предлагаемый инструмент
Об этом свидетельствуют также и микрофото рабочих поверхностей инструмента (табл. 2). Кроме того, экспериментальный инструмент обладает меньшей скоростью развития повреждений, одновременно с тем, что первоначальное рассеивание параметров также на 27–32 % меньше.
Таблица 2. Результаты исследований качества обработки поверхностей
Таким образом, применение инструмента, изготовленного на основе функционально-ориентированного подхода к формированию режущей поверхности путем создания определенных совместимых кластеров, позволяет качественно и производительно обрабатывать современные композиционные материалы, в частности УУКМ. Характеристики поверхностного слоя режущего инструмента целесообразно устанавливать на основе реверсивного инжиниринга.